ISSN 1003-8035 CN 11-2852/P

    黄土深基坑潜水区降水诱发地面沉降的简化算法

    Simplified calculation of settlement due to dewatering of phreatic aquifer in loess area

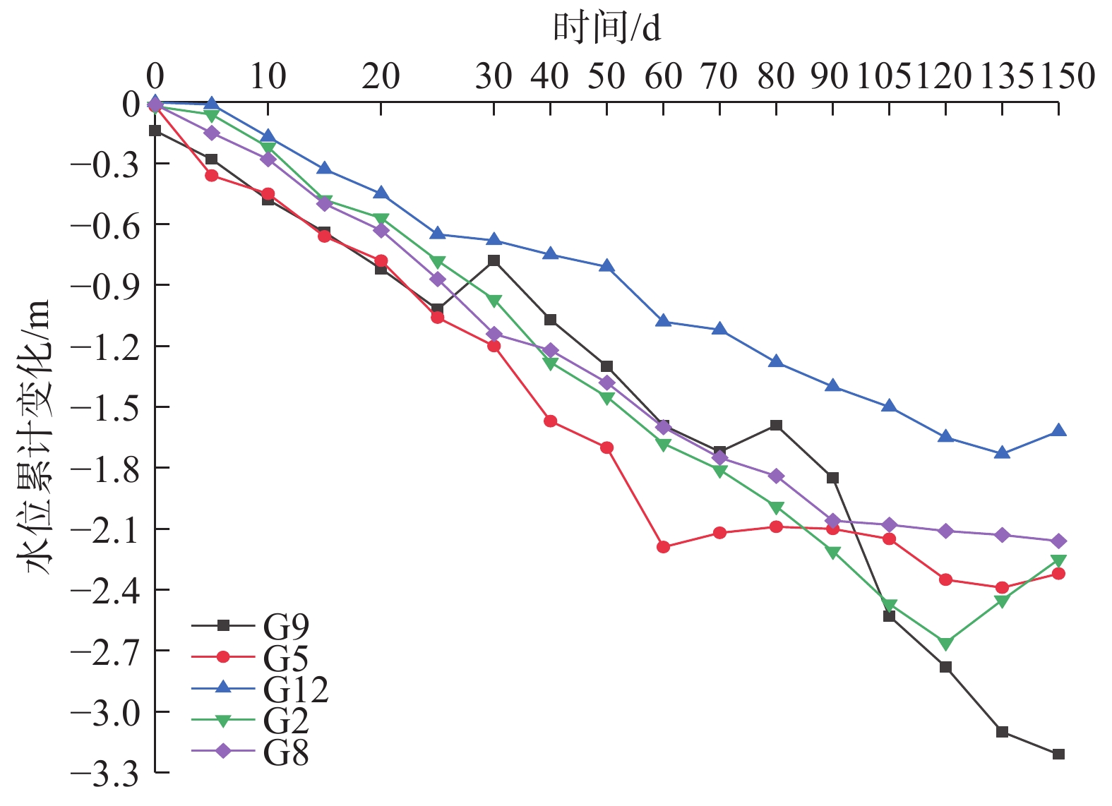
    • 摘要: 针对黄土地区深基坑降水导致地层不均匀沉降,危及坑周建筑物的问题,论文基于基坑降水诱发地面沉降机理分析,以分层总和法和剪切位移法为基础,推导出降水引起地面沉降的简化计算公式。在忽略群井效应和土层侧向变形的前提下,依据Dupuit公式得出基坑降水曲线方程,将坑周土体以降水曲线为界分为疏干区和饱和区。引入修正系数,对黄土地区不同性质土层因孔隙水压力减小产生的有效应力增量修正,同时考虑桩-土界面侧摩阻力对土体的约束作用,分别计算距井轴不同距离处的沉降量,叠加后得出最终的沉降值。对比数值模拟计算结果及工程实例监测值,分析表明:在桩-土交界处,侧摩阻力对土体竖向沉降的约束作用最明显;在1.5倍降水深度范围内的沉降计算值精度远高于规范算法,能够较好的预测降水期间黄土地区坑周不同距离处的地面沉降量。

       

      Abstract: Focusing on the uneven settlement of surrounding buildings caused by deep foundation pit dewatering in loess area, this study analyzed the mechanism of ground settlement induced by foundation pit dewatering, deduced the simplified calculation formula of ground settlement caused by dewatering based on the layer-wise summation method and shear displacement method. First, the equation of the cone of depression was derived from Dupuit formula by ignoring group well effect and lateral displacement. The soil around the pit was divided into a drained zone and a saturated zone by the precipitation curve. Then introduce modification factor, and the effective stress increment caused by the reduction of pore water pressure in different loess layers was corrected. Finally, the constraint function of lateral friction located in soil-pile interface towards soil settlement was considered. The settlement at different distances from the dewatering well was calculated respectively, the actual settlement was the sum of the both. Instance calculates was performed based on an engineering example of foundation pit dewatering by finite element software Abaqus, and comparative analysis was carried out between numerical results and measured field data. The research results show that the position where the constraint effect of lateral friction became most significant was at the interface of soil and pile; the accuracy of settlement calculation in this paper was much higher than that of the normative method in the range of 1.5 times of precipitation depth, which can better predicted the ground settlement at different distances around the foundation pit in loess region during dewatering. The study could provide reference for calculating ground subsidence in similar phreatic aquifers.

       

    /

    返回文章
    返回